Подробности за свързването и инсталирането на DRL
Правилата за движение изискват колата през деня да се движи с включени дневни светлини (DRL, DRL). Това увеличава видимостта на автомобила на пътя и води до намаляване на инцидентите. Като DRL можете да използвате светлините на стандартното осветително оборудване на машината или можете да монтирате отделни осветителни устройства за това. Можете сами да инсталирате ходови светлини, но трябва да спазвате определени правила.
Правила за определяне на правилата за движение
Изискването за наличието на DRL се съдържа в правилата за движение, а техническите параметри на светлините се регулират от два GOST - R 41.48-2004 и R 41.87-99. Според техните изисквания трябва да има два фенера, а цветът на сиянието им е само бял. Други характеристики не трябва да надхвърлят:
- яркост на светене 400..800 кандела;
- разстоянието между лампите - не повече от 60 см;
- разстояние от ръба на автомобила - в рамките на 40 см;
- хоризонтален ъгъл на отваряне на светлинния лъч - 20 градуса, вертикален - 10 градуса;
- монтажна височина - 25..150см.
Параграф 6.19 от GOST R 41.48-2004 казва това DRL трябва да светне при включване на запалването..
Важно! Дори ако DRL светлините напълно отговарят на изискванията на GOST, но тяхното инсталиране не е предвидено от редовния дизайн на автомобила, след инсталирането на DRL всички промени трябва да бъдат регистрирани в КАТ непременно.
Избор на схема за свързване
Има различни опции за свързване на DRL. Когато ги избирате, трябва да вземете предвид собствената си квалификация, съответствието на алгоритъма на работа с правилата и държавните стандарти, както и удобството за достъп до точките за свързване.
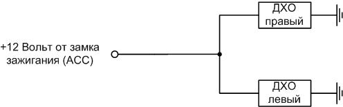
Най-лесният вариант
Най-простата схема за свързване на DRL е както следва.

Тази опция ще изисква инсталирането на допълнителен ключ, който управлява DRL светлините. Когато запалването е включено, ще трябва ръчно да включите светлините, а когато ги изключите, също ръчно да ги изключите. Това е много неудобно, можете да забравите да включите DRL и още по-лошо - да забравите да го изключите. Това ще изтощи батерията. Освен това инсталирането на допълнителен превключвател може да повреди вътрешността на машината. Ето защо е по-добре да вземете 12 волта не от батерията, а през ключа за запалване, от изхода +.
Най-добрият вариант е, ако ключът за запалване на автомобила има позиция ACC за захранване на аксесоари. Към този извод е свързан проводник с достатъчен габарит и напрежение от 12 волта е налице при включване на запалването (с изключение на времето, когато стартерът работи). В този случай превключвателят може да бъде пропуснат.

Недостатъкът на тази схема е, че DRL ще свети, когато други светлини са включени. Възможно е да се въведе допълнителен превключвател за ръчно изплащане на DRL, но тази схема по отношение на недостатъците е сведена до предишната.
Силовите вериги на DRL за всяка схема на свързване трябва да бъдат защитени с предпазител за съответния ток (не е показан на диаграмата за простота).
Видео майсторски клас за свързване на DRL към Ford Focus.
Как да направите автоматично включване на DRL
Най-добрият вариант е, когато дневните светлини се включват автоматично без никакво действие от страна на водача. Това може да стане по много начини.
Чрез преминаваща светлина или размери
За да гасите DRL, когато са включени размерите или късите светлини, можете да използвате следната схема.

Работи, ако:
- DRL са изградени върху светодиоди с ниска или средна мощност;
- в размери или къси светлини се използва лампа с нажежаема жичка.
Токът, протичащ през серийната верига „две DRL лампи - лампа с размери“ в този случай не е достатъчен за загряване на нишката „лампа на Илич“, но може да е достатъчен за запалване на LED елементите. Трябва да се има предвид, че крушка с нажежаема жичка ограничава тока във веригата, така че яркостта на DRL може да намалее.
Когато се приложи напрежение към лампите с размери или късите светлини със стандартен превключвател, на лампата ще се появи напрежение от 12 волта, потенциалите на двата изхода на DRL ще се изравнят и светлините за движение ще изгаснат.
От генератора
Ако няма достъп до клемата на ключалката за запалване, тогава може да се използва схема, базирана на тръстиков превключвател. Това устройство е запечатан контакт, запечатан в стъклена тръба. Когато се появи външно магнитно поле, контактът се затваря.В тази версия тръстиковият превключвател управлява магнитното поле на генератора, което се появява по време на неговата работа.

Контактите на устройството не са предназначени за превключване на високи токове, така че трябва да се включи чрез междинно реле.

За да работи веригата, е необходимо да се намери такава позиция на тръстиковия превключвател, така че да се затваря стабилно, когато двигателят работи и генераторът работи и да го фиксирате в тази точка (за механична здравина можете да затегнете магнитно чувствително устройство в термосвиваемо).
Веднага след като генераторът започне да работи, под въздействието на своето магнитно поле, контактите ще се затворят и ще захранват бобината на релето (можете да използвате всяка кола с четири проводника). Релето ще затвори и ще захранва DRL светлините. Когато включите размерите или късите светлини, на лампата ще се появи напрежение и DRL ще изгаснат.
| тип тръстиков превключвател | Дължина, мм | Работно напрежение, V | Превключван ток, mA |
|---|---|---|---|
| МКА-07101 | 7 | до 24 | до 100 |
| КЕМ-3 | 18 | до 125 | до 1000 DC |
| ICA-20101 | 20 | до 180 DC | до 500 |
| КЕМ-2 | 20 | до 180 | до 500 |
| КЕМ-1 | 50 | до 300 | преди 2000г |
От релето
Схемите за свързване на DRL могат да бъдат сглобени на различни автомобилни релета. Лесно се намират във всеки магазин за части. Повечето релета се предлагат във вариант с четири изхода (със затваряща контактна група) или пет изхода (с група за превключване).
В диаграмите за свързване на DRL релетата могат да се използват и в други версии (неавтомобилни) с подходяща група контакти, проектирани да работят от 12 волта. Но автомобилните релета са удобни поради тяхната наличност, както и защитения им дизайн. Те са затворени в пластмасова кутия, която предотвратява навлизането на вода и мръсотия вътре.
4 щифта
В тази схема за свързване на дневни светлини чрез електромагнитно реле се използва и сигнал от размерите или късите светлини.

В тази верига напрежението на намотката на релето присъства, когато ключът за запалване е включен, и липсва, когато са включени размерите или късите светлини. Предимствата на тази опция са съответствието на алгоритъма на работа с GOST.
Видео: Свързване на DRL чрез 2 релета за автоматична работа (да не забравяте да го включите и изключите)
5 щифт
Сигналът за работещ двигател може да бъде напрежението от предупредителната лампа за налягането на маслото. В повечето автомобили изгасва, когато има налягане на смазване - контактите на масления сензор изключват крушката от общия проводник.

Първоначално маслената помпа не работи, контактите на сензора са затворени, светлината свети, напрежението на долния изход на релето според диаграмата е нула, релето е затегнато. Контактите му са отворени, не се подава напрежение към DRL светлините. Когато се появи налягането на маслото, контактите на сензора отварят електрическата верига, лампата изгасва. Реле, свързано паралелно с електрическа крушка, също е изключено. Контактите се затварят, DRL започват да блестят. Когато включите габаритните или късите светлини, DRL изгасва.
Недостатъкът на схемата е неспазването на GOST. Светлините тук светват само след стартиране на двигателя, а не при включване на запалването. Друг проблем е, че веригата не работи, когато се използва в размерите на LED излъчватели, а не лампи с нажежаема жичка.
Електрическата схема за липса на лампа за налягане на смазочното масло при различните превозни средства може да варира. Преди да започнете монтажа, е необходимо да се анализира работата на електрическото оборудване.
Илюстративен видео пример за свързване чрез 5-пиново реле.
Чрез контролен блок
В продажба има блокове за управление за дневни светлини. Освен автоматично включване и изключване, те в повечето случаи са оборудвани с допълнителни сервизни функции. Схемата на свързване на индустриалните блокове за управление е посочена на корпуса им или в придружаващата документация.
Също така в глобалната мрежа можете да намерите много домашни продукти на обикновени микроконтролери. Схемите и софтуерът за такива устройства са разработени от авторите. Ако желаете, можете да се свържете с тях за промяна на фърмуера за конкретни нужди.
Има и други схеми за свързване на DRL (чрез сензор за скорост и т.н.). Те могат да бъдат намерени в интернет, но преди да започнете инсталацията, такива схеми трябва да бъдат анализирани за съответствие с алгоритъма на работа на GOST.
Прочетете също: Изработка на DRL контролер
Процесът на инсталиране на DRL на автомобил
На автомобила могат да се монтират както домашни DRL, така и индустриални светлини. В последния случай има смисъл да закупите готов комплект за монтиране на осветително тяло.

Какво ти е необходимо
За самостоятелно монтиране на дневни светлини ще ви трябват следните инструменти:
- Комплект отвертки;
- поялник с консумативи;
- запалка или индустриален сешоар (за термосвиваема тръба на корпуса).
Ще ви е необходим и друг малък металообработващ инструмент (клещи, резачки и др.)
От материалите, от които се нуждаете:
- найлонови скоби (замазки);
- термосвиваема тръба (или електрическа лента);
- самонарезни винтове за закрепване (има опция за инсталиране на двустранна лента, но това е по-малко надеждно);
- няколко метра двужилен кабел или проводник.
Както и други електрически материали и компоненти според избраната схема.
Къде е най-доброто място за монтиране
Според правилата DRL трябва да бъдат инсталирани на предния панел на автомобила. Най-удобно е да ги монтирате:
- на бронята (на мястото на стандартните фарове за мъгла или на новоподготвени седалки);
- в стандартната система за осветление на превозното средство;
- вгражда се в решетката на радиатора.
При всеки метод трябва да се спазват посочените по-горе размери и разстояния.
След избора на мястото за монтаж трябва да се подготвят точките за кацане. Тази концепция включва основно почистване на мястото на монтаж от мръсотия, но ако DRL са монтирани на радиаторна решетка или на броня, трябва да се изрежат отвори, за да паснат на DRL светлините.
Ако към фенерите са включени метални скоби за монтаж, тогава мястото трябва да бъде подготвено за тях. След механичното закрепване на светлините можете да поставите проводниците, да ги закрепите с връзки и да монтирате управляващата верига на всяко удобно място.
Един от методите за инсталиране е описан във видеото.
Нюанси на свързване
Има силно мнение, че при свързване на LED светлини е необходимо да се използва стабилизатор, в противен случай експлоатационният живот на LED лампите ще бъде намален. Това е спорен и спорен въпрос. Но ако желаете, можете да инсталирате такива устройства. Те са включени в прекъсването на захранващия проводник DRL.

С основни познания по електротехника и минимални ключарски умения можете сами да инсталирате дневни светлини. Основното нещо е да се спазват изискванията на GOST. В противен случай проблемите с регистрирането на промени в КАТ не могат да бъдат избегнати.

