วิธีเชื่อมต่อสวิตช์สามตัว - แผนภาพการเดินสายไฟ
นอกจากสวิตช์ในครัวเรือนแบบปุ่มเดียวแล้ว ยังมีอุปกรณ์ที่มีปุ่มขายสองและสามปุ่มอีกด้วย หลังทำให้เกิดคำถามมากที่สุดจากผู้ซื้อ อันที่จริงอุปกรณ์ดังกล่าวใช้ในชีวิตประจำวันและในสำนักงาน คุณสามารถติดตั้งและเชื่อมต่อสวิตช์สามตัวได้ด้วยตัวเอง
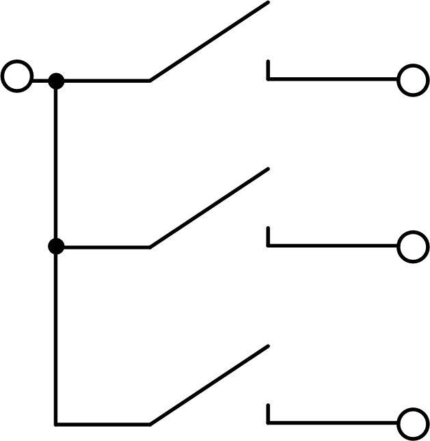
สวิตช์สามปุ่มทำงานอย่างไร
ในลักษณะที่ปรากฏ สวิตช์ไฟสามดวงดูเหมือนสวิตช์ปกติ แต่มีแผงที่เคลื่อนย้ายได้สามแผง สิ่งนี้กำหนดขนาดของอุปกรณ์ - ในกรณีส่วนใหญ่จะค่อนข้างกว้างกว่าคู่แบบหนึ่งและสองคีย์
แต่ละคนควบคุมกลุ่มผู้ติดต่อของตนเองเพื่อเปิดและปิดโดยไม่ขึ้นกับผู้อื่น เมื่อจัดการคีย์ แรงดันไฟฟ้าจะถูกใช้ (และลบออก) กับโหลดเฉพาะ

หากคุณถอดกุญแจออก กลไกสวิตช์ที่มีองค์ประกอบเคลื่อนที่ 3 อย่างจะเปิดขึ้น

ในการติดตั้งสวิตช์ที่ไซต์การติดตั้ง คุณจะต้องถอดโครงพลาสติกตกแต่งออกด้วย สวิตช์ของการออกแบบอื่นๆ มีการออกแบบที่คล้ายกัน - ตัวอย่างเช่น สวิตช์สามปุ่ม

หลังจากนั้นจะมีรายการต่อไปนี้:
- สกรูใบมีดขยาย;
- ขั้วสำหรับต่อสายไฟ
- รูสำหรับติดตั้งอุปกรณ์บนพื้นผิว
จะเห็นได้ว่าอุปกรณ์นั้นมีหน้าสัมผัสทั่วไปอยู่ด้านบน แต่ก็ไม่เสมอไป สิ่งนี้จะต้องนำมาพิจารณาเมื่อเตรียมการติดตั้ง
ขอบเขตของแป้นพิมพ์สามตัว
การใช้โคมระย้าแบบ 3 แผงที่ชัดเจนที่สุดคือการควบคุมไฟสามดวงแยกจากกัน ความต้องการในชีวิตประจำวันนั้นหายาก และในสำนักงานหรืออาคารคลังสินค้า - สถานการณ์จริงมาก
แต่ในบ้านหรืออพาร์ตเมนต์สามารถใช้โคมไฟระย้าแบบหลายทางได้ แม้ว่าพวกเขาจะเป็นนักกินพลังงานที่แท้จริง (หลอดไส้ 50 วัตต์สองหลอดให้น้อยกว่า การไหลของแสงมากกว่าหนึ่งร้อยวัตต์) อุปกรณ์ให้แสงสว่างดังกล่าวใช้กันอย่างแพร่หลายเพื่อเหตุผลด้านสุนทรียศาสตร์ เพื่อเพิ่มประสิทธิภาพและความสะดวกสบายในการใช้งานของหลอดไฟคุณสามารถใช้สวิตช์หลายปุ่ม โดยการควบคุมไม่ใช่โคมระย้าโดยรวม แต่เป็นโคมเดี่ยวหรือกลุ่มของโคม คุณสามารถเลือกระดับแสงที่สะดวกและไม่เปลืองไฟฟ้า
การเลือกสถานที่ติดตั้ง
หากเราหันไปใช้กฎการติดตั้งไฟฟ้าฉบับที่เจ็ดปรากฎว่าไม่มีเงื่อนไขที่เข้มงวดในการติดตั้งสวิตช์ในครัวเรือน วรรค 7.1.51 แนะนำให้ติดตั้งอุปกรณ์สวิตชิ่งที่ทางเข้า ที่ความสูง 1 เมตรจากด้านข้างของด้ามจับ. กฎกำหนดระยะทางขั้นต่ำไปยังท่อส่งก๊าซเท่านั้น ต้องมีอย่างน้อย 50 ซม.แต่มีข้อยกเว้นสองประการ:
- ในสถานรับเลี้ยงเด็ก สวิตช์จะต้องติดตั้งที่ความสูง 1.8 ม. - ห่างจากมือเด็ก
- ห้ามมิให้ติดตั้งอุปกรณ์สวิตชิ่งในห้องชื้น (อ่างอาบน้ำ, อาบน้ำ, ฝักบัว).
มิฉะนั้น เมื่อเลือกสถานที่สำหรับติดตั้งอุปกรณ์สามปุ่ม คุณสามารถได้รับคำแนะนำเกี่ยวกับความสะดวกสบายและความปลอดภัยของคุณเอง
ตัวเลือกการเชื่อมต่อ
รูปแบบการเชื่อมต่อที่ชัดเจนสำหรับสวิตช์แบบสามแก๊งคือการควบคุมหลอดไฟสามดวงที่ต่างกัน กลุ่มผู้ติดต่อ 3 กลุ่มแต่ละกลุ่มจะสลับหลอดไฟโดยไม่ขึ้นกับกลุ่มอื่น

เมื่อเชื่อมต่อผ่านกล่องรวมสัญญาณ โทโพโลยีการยึดจะมีลักษณะดังนี้:

จากรูปจะเห็นได้ว่าในการติดตั้ง คุณจะต้อง:
- สายเคเบิลสามคอร์จากสวิตช์บอร์ด
- สายเคเบิลสามเส้นพร้อมตัวนำสามตัวสำหรับผู้บริโภคแต่ละราย
- สายเคเบิลสี่สายจากกล่องรวมสัญญาณไปยังสวิตช์เกียร์
กล่องรวมสัญญาณมีการเชื่อมต่อจำนวนมาก ดังนั้นจึงจำเป็นต้องเลือกกล่องรวมสัญญาณที่มีขนาดเหมาะสม
สำคัญ! ตัวนำ PE อาจไม่มีอยู่ในระบบจ่ายไฟ TN-C ไม่ส่งผลต่อการทำงานของวงจร แต่ถ้ามีจะต้องวางและเชื่อมต่อกับส่วนควบกับขั้วที่มีตัวอักษร PE หรือสัญลักษณ์โลก นี่เป็นปัญหาด้านความปลอดภัย
ในกรณีที่ไม่มีตัวนำป้องกัน จำนวนแกนในสายไฟจ่ายและสายเคเบิลขาออกจะลดลงหนึ่งเส้น สายเคเบิลสองคอร์จะเข้าสู่กล่องและออกไปยังผู้บริโภคแต่ละราย แต่ไม่ว่าในกรณีใด ต้องดึงตัวนำสี่ตัวไปที่สวิตช์
อีกทางเลือกหนึ่งในการเชื่อมต่ออุปกรณ์ที่มีหน้าสัมผัสอิสระสามกลุ่มคือการควบคุมโคมระย้าแบบหลายราง

ความแตกต่างระหว่างแบบแผนนี้กับแบบก่อนหน้านี้:
- ตัวนำ PE และ N ไม่ยืดไปยังแต่ละหลอด แต่สำหรับหลอดโดยรวม
- แต่ละปุ่มสามารถควบคุมได้ทั้งหลอดไฟเดี่ยวและกลุ่มของหลอดไฟ - ขึ้นอยู่กับวงจรภายในของโคมระย้า

หากคุณศึกษาแผนภาพการเดินสายไฟ เห็นได้ชัดว่าในกรณีนี้ การติดตั้งในกล่องรวมสัญญาณจะมีความหนาแน่นน้อยกว่าในกรณีก่อนหน้ามาก ข้อแตกต่างประการที่สองคือรายการสายเคเบิล หากไฟส่องสว่างโดยเครือข่าย TN-S หรือ TN-C-S (พร้อมตัวนำป้องกัน PE) สายไฟจะต้องมีสิ่งต่อไปนี้:
- สายเคเบิล 3 คอร์จากแผงสวิตช์ไปที่กล่อง (สองสายหากไม่มี PE)
- สายเคเบิลห้าแกนจากกล่องรวมสัญญาณไปยังโคมระย้า
เช่นเดียวกับในกรณีก่อนหน้านี้ สวิตช์เชื่อมต่อกับสายเคเบิลสี่สาย
วิดีโอแสดงไดอะแกรมการเชื่อมต่ออย่างชัดเจนพร้อมตัวอย่าง
สิ่งที่จำเป็นสำหรับการติดตั้ง
การติดตั้งระบบไฟฟ้าจะไม่ทำงานหากไม่มีชุดเครื่องมือขั้นต่ำ:
- ในการถอดฉนวนคุณจะต้องใช้มีดของช่างฟิต
- ในการย่นตัวนำให้สั้นลง คุณจะต้องใช้คีม
- ในการตรวจสอบว่าไม่มีแรงดันไฟฟ้า คุณจะต้องใช้ไขควงตัวบ่งชี้หรือมัลติมิเตอร์
- สำหรับงานติดตั้ง - ชุดไขควง
หากการเชื่อมต่อในกล่องรวมสัญญาณทำโดยการบิดตัวนำทองแดงแนะนำให้ประสานข้อต่อ ในการทำเช่นนี้ คุณจะต้องใช้หัวแร้งและวัสดุสิ้นเปลืองสำหรับมัน บางทีในกระบวนการทำงานอาจมีความจำเป็นสำหรับเครื่องมืออื่นๆ
งานเตรียมการ
ก่อนเริ่มการติดตั้ง ให้ระบุตำแหน่งการติดตั้งของสวิตช์หากคุณวางแผนที่จะเดินสายไฟที่ซ่อนอยู่ ให้ซื้อสวิตช์แบบฝังและเต้ารับที่มีขนาดเหมาะสม (กล่องพลาสติกที่จะติดตั้งอุปกรณ์) ด้วยการเดินสายแบบเปิดต้องวางวัสดุบุผิวที่สถานที่ติดตั้งของอุปกรณ์
การเลือกตัวนำตัดขวาง
ภาพตัดขวางของแกนสายเคเบิลขึ้นอยู่กับน้ำหนักและวิธีการวาง ประสบการณ์หลายปีแสดงให้เห็นว่าภาคตัดขวางใน 1.5 ตร.มม. ในแง่ของปริมาณงานและความแข็งแรงเชิงกลเพียงพอสำหรับงาน 99+ เปอร์เซ็นต์ การจัดแสง ขนาดนี้ได้กลายเป็นมาตรฐานบางอย่าง การกระจายผลิตภัณฑ์ LED ในวงกว้างเป็นเพียงการยืนยันวิทยานิพนธ์นี้ - ภาระในเครือข่ายแสงสว่างไม่เพิ่มขึ้น แต่ถ้าเคสไม่ได้มาตรฐานก็เลือกสายได้ตามตารางครับ
| ภาพตัดขวางของตัวนำ ตร. mm | กระแสที่อนุญาต A | โหลดที่อนุญาตที่ 220 V, W | ||
| ทองแดง | อลูมิเนียม | ทองแดง | อลูมิเนียม | |
| 1,5 | 19 | - | 4100 | - |
| 2,5 | 27 | 21 | 5900 | 4600 |
| 4 | 38 | 29 | 8300 | 6300 |
| 6 | 50 | 38 | 11000 | 8300 |
แม้ว่าตัวนำอะลูมิเนียมจะได้รับอนุญาตตามข้อบังคับ แต่ขอแนะนำให้ใช้เฉพาะผลิตภัณฑ์ทองแดงเท่านั้น
ถัดไปคุณต้องทำผลิตภัณฑ์สายไฟ - วางสายเคเบิลตามแบบแผนที่เลือกระหว่างองค์ประกอบทั้งหมด ควรใช้ผลิตภัณฑ์ที่มีแกนที่มีหมายเลขและรหัสสี หากไม่มีสายเคเบิลดังกล่าว คุณจะต้องดำเนินการต่อเนื่องของตัวนำและการทำเครื่องหมายของแกนเอง สายเคเบิลควรมีระยะขอบเล็กน้อยโดยมีความยาว 10-15 ซม. เมื่อทำงานเหล่านี้เสร็จแล้ว คุณสามารถดำเนินการติดตั้งจริงต่อได้
ข้อกำหนดด้านความปลอดภัย
เมื่อปฏิบัติงานต้องปฏิบัติตามกฎหลัก: งานทั้งหมดดำเนินการบนอุปกรณ์ที่ไม่มีพลังงาน หากเดินสายตั้งแต่เริ่มต้น การเชื่อมต่อกับแผงสวิตช์จะต้องเสร็จสิ้น
หากระบบไฟส่องสว่างที่มีอยู่กำลังได้รับการปรับปรุงใหม่ จำเป็นต้องรับรองความปลอดภัย:
- ปิดเบรกเกอร์ที่เกี่ยวข้องในแผงป้องกันโดยระบุตามไดอะแกรมหรือเครื่องหมาย
- สร้างช่องว่างที่มองเห็นได้โดยการถอดสายไฟออกจากขั้วของเครื่อง - ซึ่งจะช่วยขจัดแรงดันไฟฟ้าที่ผิดพลาด
- ตรวจสอบการขาดแรงดันไฟฟ้าโดยตรงที่ไซต์งาน
เพิ่มความปลอดภัยด้วยการใช้เครื่องมือช่างหุ้มฉนวน ต้องใช้ความระมัดระวังว่าฉนวนของด้ามจับไม่ชำรุดหรือสึกหรอ
การติดตั้งสวิตช์
คุณสามารถเริ่มประกอบวงจรโดยติดตั้งสวิตช์ สายไฟที่นำเข้ามาในซ็อกเก็ตของอุปกรณ์จะต้องตัดให้สั้นลงด้วยคีมตัดสายไฟให้มีความยาวที่เหมาะสม - เพื่อให้สามารถใส่อุปกรณ์เข้าที่ ถัดไป ใช้มีดยูทิลิตี้เพื่อถอดปลอกด้านบนออกจากสายเคเบิล

จากนั้นดึงฉนวนของตัวนำด้วยมีดเดียวกัน หากมีตัวปอกฉนวนจะสะดวกกว่าในการทำงาน เป็นผลให้ควรเป็นดังนี้:

ถัดไป คุณต้องดูว่าเทอร์มินัลทั่วไปตั้งอยู่ด้านใด ขึ้นอยู่กับตำแหน่งเปิดหรือปิดของสวิตช์

ในรัสเซีย เป็นเรื่องปกติที่สถานะ "ปิด" จะเป็นเมื่อกดที่ขอบด้านล่างของปุ่ม ประเพณีนี้มาจากข้อกำหนดของกฎที่องค์ประกอบสวิตช์ไม่สามารถเปิดได้ภายใต้อิทธิพลของแรงโน้มถ่วงของตัวเอง สิ่งนี้ใช้ได้กับสวิตช์มีด แต่หลักการนั้นเป็นที่ยอมรับกันดี อีกรุ่นหนึ่ง - กฎมาจากเงื่อนไขว่าในสถานการณ์วิกฤติบุคคลควรจะสามารถปิดแรงดันไฟฟ้าโดยการกระทำของแรงโน้มถ่วงของร่างกายของเขา ไม่ว่าจะด้วยวิธีใดมันเป็นพลังแห่งนิสัย ในบางประเทศมีการใช้มาตรฐานที่ตรงกันข้ามและ ไม่ส่งผลต่อการทำงานจริงของระบบไฟส่องสว่าง.
ดังนั้นจึงจำเป็นต้องเชื่อมต่อสวิตช์เพื่อให้สะดวกและคุ้นเคยในการควบคุมแสง

หลังจากนั้น คุณสามารถติดตั้งอุปกรณ์ในซ็อกเก็ต คลายกลีบดอกไม้ ขันให้แน่นด้วยสกรูกับผนัง และใส่ของตกแต่งพลาสติกเข้าที่

การติดตั้งกล่องรวมสัญญาณ
หากใช้แป้นพิมพ์สามตัวเพื่อสลับผู้ใช้อิสระสามคน ซึ่งแต่ละอันมีสายเคเบิลของตัวเอง ตัวนำในกล่องควรจัดเรียงดังนี้:

ดำเนินการเชื่อมต่อหลักตามแผนภาพด้านบน:
- เชื่อมต่อตัวนำ PE (เหลืองเขียว);
- ตัวนำที่เป็นกลาง (ในกรณีนี้คือสีขาวยกเว้นตัวที่ไปที่สวิตช์) ก็เชื่อมต่อกัน
- เชื่อมต่อสายสีแดงของสายเคเบิลจ่ายไฟเข้ากับสีแดง (เพื่อไม่ให้สับสน) กับสวิตช์ซึ่งจะเป็นตัวนำทั่วไป
- เชื่อมต่อสายไฟสีขาว น้ำตาล เหลืองของสายเคเบิลสี่แกนเข้ากับแกนสีแดงที่สอดคล้องกันของสายเคเบิลที่ไปยังโคมไฟ
แน่นอน สีของตัวนำไม่ส่งผลต่อประสิทธิภาพของระบบ แต่การสังเกตลำดับของสีจะลดข้อผิดพลาดในการติดตั้งและอำนวยความสะดวกให้น้อยที่สุด ซ่อมแซม ต่อไปในอนาคต.
หากแป้นพิมพ์สามปุ่มควบคุมหลอดไฟแต่ละดวงของโคมระย้าแบบหลายแทร็ก การติดตั้งจะดูยุ่งยากน้อยลง

เช่นเดียวกับในกรณีก่อนหน้านี้ ต้องเชื่อมต่อสายสีเหลือง-เขียว (PE) และสีขาว (N) ที่สายไฟและสายที่เชื่อมต่อกับโคมระย้า - พวกมันจะลอดผ่านกล่องระหว่างทาง แกนสีแดงของสายเคเบิลจ่ายไฟและสายเคเบิลขาออกกับสวิตช์ยังเชื่อมต่ออยู่ด้วย และแกนสีขาว สีเหลือง และสีน้ำตาลสามารถเชื่อมต่อกับแกนที่มีสีเดียวกันของสายเคเบิลห้าคอร์ที่ส่งออกได้
คุณสามารถเชื่อมต่อตัวนำโดยการบิดแล้วบัดกรี (ไม่จำเป็น แต่เป็นที่ต้องการ - ในอนาคตจะช่วยลดโอกาสในการสัมผัสเสื่อมสภาพเนื่องจากการเกิดออกซิเดชันของทองแดง) ในตอนท้ายของการเชื่อมต่อจะต้องหุ้มฉนวนจุดบิด
และเป็นการดีกว่าที่จะเชื่อมต่อแกนกับขั้วต่อพิเศษ - ควรเป็นแบบสกรู การหนีบสะดวกกว่า แต่ความน่าเชื่อถือของหน้าสัมผัสนั้นต่ำกว่า


คลิปวิดีโอสาธิตวิธีการเชื่อมต่อสวิตช์ตัวที่ 3 กับซ็อกเก็ตทั้งแบบแผนผังและการใช้งานจริง
ความผิดพลาดทั่วไป
ข้อผิดพลาดในการติดตั้งอาจเกิดจากการเชื่อมต่อตัวนำไม่ถูกต้อง แต่การใช้สายเคเบิลที่มีแกนที่ทำเครื่องหมายไว้ การปฏิบัติตามมาตรการความปลอดภัยและการดูแลระหว่างการติดตั้งควรลดโอกาสที่ข้อผิดพลาดดังกล่าวจะเหลือศูนย์ จากนั้นระบบไฟส่องสว่างจะคงอยู่นานหลายปี ให้ความรู้สึกสบายเท่านั้น



